全国2007年10月高等教育自学考试教育科学研究方
全国2007年10月高等教育自学考试
教育科学研究方法(二)试题
课程代码:00456
一、单项选择题(本大题共15小题,每小题2分,共30分)
在每小题列出的四个备选项中只有一个是符合题目要求的,请将其代码填写在题后的括号内.错选、多选或未选均无分.
1.17世纪由学者笛卡尔创立倡导的科学研究方法被称为( )
A.论的归纳法
B.唯理论的演绎法
C.论和唯理论结合的综合法
D.实证论的实验法
2.教育科学研究的两种基本形式是( )
A.归纳和演绎
B.抽象和概括
C.实证和推论
D.分析和综合
3.文献检索的过程一般由三个主要步骤组成,即分析准备阶段、搜索阶段和( )
A.总结阶段
B.整合阶段
C.加工阶段
D.评价阶段
4.一般而言,历史研究法主要适用于研究人们过去的教育思想理论和( )
A.教育实践
B.教育认识
C.教育规律
D.教育过程
5.教育观察的对象是正在发生的事实现象,其特点是( )
A.延续性
B.可控性
C.直接性
D.形象性
6.史料可分为文字史料、实物史料和( )
A.认识史料
B.口传史料
C.人物史料
D.图象史料
7.由于区分度的系数在-1到1之间,一般要求对一个测验的区分度应达到( )
A.-0.8以上
B.-0.4以上
C.0.4以上
D.0.8以上
8.1864年,出现了世界上第一个成绩测验量表,其编制者是英国的( )
A.斯宾塞
B.洛克
C.费舍
D.赖斯
9.不需要对被试者的选择、编组以及实验处理等做随机安排,而直接以原教学班作为实验组或对照组的实验是( )
A.前实验
B.真实验
C.后实验
D.准实验
10.根据概括程度不同,教育科学理论研究可分为两个层次,它们是( )
A.理论和实证
B.定量和定性
C.经验和理论
D.科学和艺术
11.教育科学理论研究的基本方法是( )
A.问卷调查法
B.基本的逻辑思维方法
C.自然实验法
D.现场考察法
12.教育科学研究中定性分析的目的在于( )
A.把握事物的质的规定性
B.对定量分析进行补充
C.获得变量之间的精确关系
D.对非数据资料进行整理
13.在定性分析中,资料分类过程大致包括的三个步骤是( )
A.现象分类、本质分类、核心分类
B.现象分类、关系式分类、本质分类
C.开放式分类、本质分类、核心分类
D.开放式分类、关系式分类、核心分类
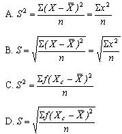
14.计算分组数据标准差的公式是( )
15.教育科学研究成果评价的内容不包括教育科学研究的( )
A.类型评价
B.过程评价
C.目标评价
D.结果评价
二、名词解释题(本大题共5小题,每小题4分,共20分)
16.教育观察研究
17.历史—逻辑方法
18.总体参数估计
19.集中量数
20.完全归纳法
三、简答题(本大题共4小题,每小题6分,共24分)
21.教育科学研究中的定量研究有哪些主要特点?
22.历史研究的一般程序是什么?
23.根据不同标准,教育调查研究一般可分为哪几种类型?
24.方差分析有哪些基本假定?
四、论述题(本大题共2小题,每小题13分,共26分)
25.论建立和检验教育研究理论构思的基本方法.
26.试述教育实验设计的基本步骤.
本文标签:四川自考 历年真题 全国2007年10月高等教育自学考试教育科学研究方
转载请注明:文章转载自(http://www.sczk.sc.cn)

《四川自考网》免责声明:
(一)由于考试政策等各方面情况的不断调整与变化,本网站所提供的考试信息仅供参考,请以省考试院及院校官方发布公布的正式信息为准。
(二)本站文章内容信息来源出处标注为其他平台的稿件均为转载稿,免费转载出于非商业性学习目的,版权归原作者所有。如您对内容、版权等问题存在异议请与本站联系,我们会及时进行处理解决。联系邮箱:812379481@qq.com





