全国2007年7月高等教育自学考试计算机原理试题
全国2007年7月高等教育自学考试
计算机原理试题
课程代码:02384
一、单项选择题(本大题共25小题,每小题1分,共25分)
在每小题列出的四个备选项中只有一个是符合题目要求的,请将其代码填写在题后的括号内.错选、多选或未选均无分.
1.在控制器的指令部件中,IR是( )
A.程序计数器
B.指令寄存器
C.指令译码器
D.时序部件
2.为用户的实际应用而编写的应用软件称为( )
A.操作系统
B.汇编程序
C.解释程序
D.用户程序
3.如题3图所示.设开关A和B闭合的逻辑值为1,断开为0;灯L亮的逻辑值为1,暗为0.则灯L亮的逻辑表达式为( )
5.根据输入变量A、B和输出变量Y的如下真值表,则实现该逻辑功能的门电路是( )
A.与门
B.或门
C.异或门
D.异或非门
6.相对于原码和反码,补码编码的特点是( )
A.便于转换
B.便于表示负数
C.便于加减法运算
D.便于乘除法运算
7.在以下编码中,有权的二一十进制编码是( )
A.8421BCD码
B.海明码
C.余3码
D.格雷码
8.常用的英文字符编码有( )
A.机内码
B.输入码
C.ASCⅡ码
D.2421BCD码
9.在计算机显示器上或者打印机上输出中文信息时,采用的编码是( )
A.EBCDIC编码
B.字音编码
C.字形码
D.交换码
10.两定点小数作双符号位的补码加法运算,若运算后结果的符号为01,那么在条件码寄存器中被置"1"的状态标志位是( )
A.进位(C)
B.溢出(V)
C.零(Z)
D.负(N)
11.在下列作为运算器组成的逻辑部件中,程序不可访问的是( )
A.累加器
B.状态条件寄存器
C.通用寄存器
D.数据缓冲寄存器
12.下列能实现算术逻辑操作在一步控制之内完成的运算器是( )
A.单总线结构运算器
B.双总线结构运算器
C.三总线结构运算器
D.具有缓冲寄存器的运算器
13.同一软件不经修改就可以运行于系统结构相同的各个计算机上,并获得相同的结果,这种特性称为( )
A.完备性
B.有效性
C.规整性
D.兼容性
14.执行诸如位测试、位清除、位求反等操作的指令属于( )
A.算术运算指令
B.逻辑运算指令
C.移位操作指令
D.控制指令
15.有些计算机的硬件没有浮点运算指令,浮点运算是用其他指令编写的程序实现的,这种计算机的特点是( )
A.计算机成本低、浮点运算速度慢
B.计算机成本低、浮点运算速度快
C.计算机成本高、浮点运算速度慢
D.计算机成本高、浮点运算速度快
16.无条件转移指令的功能是将该指令中形成的有效地址送入( )
A.指令寄存器
B.地址寄存器
C.程序计数器
D.数据缓冲寄存器
17.存储器如果按信息的可保护性来分类的话,可分为( )
A.主存储器和辅助存储器两类
B.动态存储器和静态存储器两类
C.易失存储器和非易失存储器两类
D.随机存取存储器、只读存储器、顺序存取存储器和直接存取存储器
18.如果16K×16bit RAM存储芯片不采用地址复用技术的话,除了电源和0V线外,其输入输出线还有( )
A.14根
B.16根
C.27根
D.32根
19.关于光盘存储器,以下叙述中正确的是( )
A.光盘存储器的存储介质是激光
B.所有的光盘存储器都是用表面的凹凸来表示0或1信息的
C.光盘存储器都是只读存储器
D.光盘存储器是利用光学原理来存储信息的
20.在虚拟存储器的地址映像中,如果任一逻辑页能够映像到主存中任意页位置,则称此映像为( )
A.全相联映像
B.组相联映像
C.直接映像
D.间接映像
21.下列在外围设备和主机之间起协调作用的部件是( )
A.适配器或接口
B.设备控制器
C.数据寄存器
D.条件状态寄存器
22.在中断处理过程中,通常用来保存断点及现场信息的是( )
A.中断向量表
B.通用寄存器
C.堆栈
D.数据缓冲寄存器
23.在直接存储器存取的I/O方式中,控制数据传输的部件是( )
A.CPU
B.DMA控制器
C.存储器
D.总线
24.计算机应用于过程控制,其使用的核心设备主要是( )
A.调制解调器
B.网络适配器
C.A/D与D/A转换器
D.CRT监视器
25.关于Pentium微处理器,以下叙述中错误的是( )
A.与Intel X86二进制兼容
B.采用超级标量体系结构
C.能进行动态转移预测
D.内部有一条指令流水线和一条数据流水线
二、填空题(本大题共15小题,每小题1分,共15分)
请在每小题的空格中填上正确答案.错填、不填均无分.
26.运算器和控制器构成计算机的____________.
27.MIPS是常用的计算机性能指标之一,其含义是____________.
28.设三态与门的输入端A、B、EN都是0状态,则其输出端是____________状态.
29.设D触发器的状态Q为0,输入端ID接
至端.当输入端CI的状态由低电位跳变至高电位之后,则该触发器的状态Q为____________.30.十六进制数F27H用二进制数可表示为____________.
31.8位二进制补码整数能表示的最小数值是____________.
32.多功能算术/逻辑运算单元ALU的逻辑结构由两部分组成,它们是全加器和____________.
33.运算器内,运算前用于存放操作数、运算后又用来存放运算结果的寄存器是____________.
34.某计算机的加法指令采用零地址格式,所需的两个操作数已位于指定堆栈的栈顶及其相邻的单元(次栈顶),则执行该指令后,运算的结果位于该栈的____________.
35.为执行一条指令,CPU先从内存取出该指令,暂存于数据缓冲寄存器,然后再送到____________寄存器,以便进行译码.
36.微操作的执行必须有几个先决条件,它们是:____________;做什么操作;从什么地方到什么地方;时钟脉冲.
37.若欲用国标码形式存入16384个汉字,则存储器的容量至少需要____________.
38.一片双面磁盘,每盘面有256磁道,每道有32扇区,每扇区存储容量有512B.则该磁盘的存储容量是______________.
39.在I/O系统中,主设备与从设备之间的信息交换是采用_____________方式进行的.
40.在计算机系统中,一般将多个中断源的中断触发器组成_____________,其内容称为中段字或中断码.
三、计算题(本大题共5小题,每小题4分,共20分)
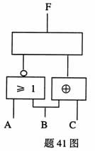
41.设有电路图如题41图所示,要求:
(1)根据该电路图,写出用输入变量A、B、C表示的输出变量F的逻辑表达式.
(2)简化逻辑表达式F.
(3)根据简化的逻辑式F,画出逻辑电路图.

42.对十进制数据0.19作规格化浮点数的编码.假定阶码采用5位(含一位阶符)补码,尾数采用11位(含一位尾符)补码,底数是2.
43.已知M(x)=1111,生成多项式G(x)=x3+x+1,试计算M(x)的CRC的校验码,并给出计算过程.
44.已知x=0.1010101,y=-0.0101011,试用补码运算和移位操作来计算1/2(x+y),要求写出计算过程.
45.某微机的指令长16位,其高6位为操作码OP,低10位为地址码D,AC为累加器.并假设:
OP=3CH 表示LDA操作((D)→AC)
OP=04H 表示ADD操作((AC)+(D)→AC)
OP=1BH 表示STA操作((AC)→D)
请回答如下问题,要求写出计算过程.
(1)代码为11C2H的指令表示什么操作?
(2)代码为F0F1H的指令表示什么操作?
(3)为将累加器中的数据存入主存地址30AH,所需的指令代码是什么?
(用十六进制数表示)
四、问答题(本大题共8小题,第46、47小题各4分,第48~51小题各5分,第52、53小题各6分,共40分)
46.电路图如题46图所示.设触发器的初始状态为Q1Q0=00o若在输入端CP连续输入4个触发脉冲,试分别写出在每个脉冲作用之后,触发器Q1Q0的状态.

47.在所表示的总位数相同的情况下,与定点数表示相比,浮点数表示在数值范围、数值精度和运算器复杂性等方面有哪些不同?
48.什么是寄存器寻址方式?并说出该寻址方式的优点和缺点.
49.非访内指令(例如CLA,将累加器内容清零)的执行流程如下图:

请填补其中的空缺(1)、(2)、(3).
(1)______________________________
(2)______________________________
(3)______________________________
50.简述程序与微程序的区别.
51.欲存两幅分辨率为256×256像素、且具有65536(216)色的彩色图片,问:
(1)该专用存储器需多少存储容量?
(2)若按字节编址,该专用存储器的地址寄存器至少有几位?
(3)该专用存储器需要多少片64K×8bit RAM存储芯片?
52.计算机系统在何种情况下要设置专用的I/O指令?其主要功能是什么?
53.简述"中断允许"触发器的作用,并说出在程序中断处理过程中先后4次分别对此触发器执行了什么操作?
本文标签:四川自考 工学类 全国2007年7月高等教育自学考试计算机原理试题
转载请注明:文章转载自(http://www.sczk.sc.cn)

《四川自考网》免责声明:
(一)由于考试政策等各方面情况的不断调整与变化,本网站所提供的考试信息仅供参考,请以省考试院及院校官方发布公布的正式信息为准。
(二)本站文章内容信息来源出处标注为其他平台的稿件均为转载稿,免费转载出于非商业性学习目的,版权归原作者所有。如您对内容、版权等问题存在异议请与本站联系,我们会及时进行处理解决。联系邮箱:812379481@qq.com





